મહાલેનોબીસ મૉડેલ : વિખ્યાત આંકડાશાસ્ત્રી પી. સી. મહાલેનોબીસે ભારતના આર્થિક આયોજન દ્વારા દેશનો ઝડપી વિકાસ સાધવાની દિશામાં ઉપયુક્ત ગણાય તેવાં રજૂ કરેલ મૉડેલ.
1. ભારતના આર્થિક વિકાસ માટે રાષ્ટ્રીય આયોજનની વિચારધારાની નક્કર ભૂમિકા 1919ની રશિયન ક્રાંતિ પછી બંધાઈ. 1934માં તત્કાલીન મૈસૂર રાજ્યના ઘડવૈયા અને વિખ્યાત ઇજનેર એમ. વિશ્વેશ્વરૈયાએ ભારતના ઝડપી ઔદ્યોગિક વિકાસ માટે દશવર્ષીય યોજનાનો ખ્યાલ સૌપ્રથમ રજૂ કર્યો. આ યોજના તેને પરિપૂર્ણ કરવા માટેની જરૂરી મૂડી અને નાણાભંડોળના અભાવે વાસ્તવિક સ્વરૂપ ધારણ કરી શકી નહિ. 1938માં જવાહરલાલ નહેરુની નેતાગીરી અને અધ્યક્ષતા હેઠળ રાષ્ટ્રીય આયોજન સમિતિ(National Planning Committee – NPC)ની રચના કરવામાં આવી. આ સમિતિએ 1944 સુધીમાં પ્રસિદ્ધ કરેલા વિવિધ હેવાલોમાં રજૂ થયેલા આયોજન વિશેના વિચારો દ્વારા આર્થિક આયોજનની નીતિને સ્પષ્ટ દિશા સાંપડી અને દેશના મુખ્ય રાજકીય પક્ષ તરીકે ભારતીય રાષ્ટ્રીય કૉંગ્રેસે આર્થિક આયોજનની નીતિનો દેશના ઝડપી વિકાસ માટે સ્વીકાર કર્યો. ભારતની સ્વતંત્રતાની ચળવળના કારણે રાષ્ટ્રીય આયોજન સમિતિ દેશના આર્થિક આયોજનની નક્કર નીતિ ઘડવામાં તે સમયે પૂરતું ધ્યાન આપી શકી નહિ; પરંતુ તેના હેવાલોએ દેશના બુદ્ધિજીવીઓ તથા અર્થશાસ્ત્રીઓને આર્થિક આયોજન વિશે વધુ વિચારવાની તક પૂરી પાડી. પરિણામે બીજા વિશ્વયુદ્ધ(1939–45)ની સમાપ્તિ બાદ ગાંધીવિચાર-પ્રેરિત ગાંધી-યોજના (Gandhi Plan), પ્રજાકીય યોજના (Peoples’ Plan) અને બૉમ્બે-યોજના (Bombay Plan) રજૂ થઈ. આ યોજનાઓ દ્વારા આયોજન વિશેની વિવિધ વિચારધારાઓ અને ચર્ચા બુલંદ બની. ગાંધી-યોજના ગાંધીજીના ગ્રામલક્ષી આર્થિક વિકાસ વિશેના તેમના મૌલિક વિચારો પર આધારિત હતી. ઇન્ડિયન ફેડરેશન ઑવ્ લેબરના નેજા હેઠળ એમ. એન. રૉય દ્વારા પ્રસ્તુત થયેલ પ્રજાકીય યોજના રાષ્ટ્રીય આયોજનના તેમના પ્રભાવક અને જલદ વિચારો પર આધારિત હતી; જ્યારે બૉમ્બે-યોજના મુંબઈના આઠ અગ્રેસર ઉદ્યોગપતિઓએ તૈયાર કરી હતી. બૉમ્બે-યોજનામાં તે વખતની ભારતની આર્થિક પરિસ્થિતિનું માહિતીસભર આંકડાકીય મૂલ્યાંકન રજૂ થયું હતું અને આ યોજના દ્વારા ભારતની રાષ્ટ્રીય આવકના વાર્ષિક વૃદ્ધિ-દરનો લક્ષ્યાંક સાત ટકાનો અંદાજવામાં આવ્યો હતો. આ ર્દષ્ટિએ બૉમ્બે-યોજના ગાંધી-યોજના અને પ્રજાકીય યોજના કરતાં વધુ વાસ્તવિક હતી. વધુમાં બૉમ્બે-યોજનામાં આર્થિક આયોજનના સંદર્ભમાં કરવેરા ઉઘરાવવા સિવાયના રાજ્યના અન્ય પ્રકારના અંકુશ કે હસ્તક્ષેપની હિમાયત કરવામાં આવી નહોતી.
1947માં ભારતની સ્વતંત્રતા બાદ સર્જાયેલ અરાજકતાભરી રાજકીય અને સામાજિક પરિસ્થિતિના કારણે ભારતના આર્થિક વિકાસ માટેના આયોજનની નીતિનો ઝડપી અમલ થઈ શક્યો નહિ; પરંતુ જવાહરલાલ નહેરુની સરકારે 1949માં રચેલા આયોજન પંચે દેશના ઝડપી આર્થિક વિકાસ માટે પંચવર્ષીય યોજનાઓ દ્વારા (i) દેશની ગરીબાઈ દૂર કરવા, (ii) બેકારીની સમસ્યા હલ કરવા, (iii) આવકની વહેંચણીમાં રહેલી અસમાનતા ઘટાડવા અને (iv) ઉદ્યોગીકરણની પ્રક્રિયા વેગવંત બનાવવા જેવા ઉદ્દેશો સિદ્ધ કરવા સમાજવાદી સમાજ-રચનાના આધાર પર રાષ્ટ્રીય આયોજન-નીતિના અમલનો પ્રારંભ કર્યો.
દેશની પ્રથમ પંચવર્ષીય યોજનાનો સમયગાળો 1951–1956નો હતો. આ યોજના માટેનું મૉડેલ હૅરડ-ડોમાર (Harrod-Domar) મૉડેલના વૃદ્ધિદર દર્શાવતું મૉડેલ હતું. આ યોજનામાં કૃષિક્ષેત્રને વધુ પ્રાધાન્ય આપવામાં આવ્યું હતું.
2. ભારતની બીજી પંચવર્ષીય યોજનાનો સમયગાળો 1956થી 1961નો હતો. આ યોજનામાં કૃષિક્ષેત્ર ઉપરાંત ઔદ્યોગિક ક્ષેત્રમાં ભારે કે ચાવીરૂપ ઉદ્યોગોના વિકાસ પર વધુ ઝોક આપવામાં આવ્યો હતો. આ યોજનાના પાંચ વર્ષના સમયગાળામાં રાષ્ટ્રીય આવકમાં 25 ટકાનો વધારો કરવાના અને બેરોજગારીની સમસ્યા હલ કરવા રોજગાર માટેની 110 લાખ જેટલી નવી જગાઓનું સર્જન કરવાના લક્ષ્યાંકો નક્કી કરવામાં આવ્યા હતા. આ યોજનાનું આર્થિક વૃદ્ધિ મૉડેલ દેશના પ્રખર આંકડાશાસ્ત્રી પ્રોફેસર પ્રશાંતચંદ્ર મહાલેનોબીસે (P. C. Mahalanobis) તૈયાર કર્યું હતું. મહાલેનોબીસે 1949માં રચાયેલી રાષ્ટ્રીય આવક સમિતિ(National Income Committee)ના અધ્યક્ષ તરીકેની કામગીરીના અનુભવ પરથી દેશના આર્થિક પ્રશ્નો, રાષ્ટ્રીય સંશોધનોની પ્રાપ્યતા અને દેશના આંકડાકીય માળખા જેવી બાબતો વિશે ઊંડી સમજ અને પકડ મેળવી હતી. ગાણિતિક અર્થશાસ્ત્ર અને આંકડાશાસ્ત્રના સિદ્ધાંતોનો સમન્વય કરી તેમણે બીજી પંચવર્ષીય યોજનાનું મૉડેલ તૈયાર કર્યું હતું. મહાલેનોબીસે બીજી પંચવર્ષીય યોજના માટે એક-ક્ષેત્રીય, દ્વિ-ક્ષેત્રીય અને ચતુ:-ક્ષેત્રીય મૉડેલ પ્રસ્તુત કર્યાં હતાં.
2.1 એક-ક્ષેત્રીય મૉડેલ (One–Sector Model) :
આ મૉડેલમાં સમાવિષ્ટ ચલો અનુક્રમે Yt (રાષ્ટ્રીય આવક) અને It (ચોખ્ખું રોકાણ) છે. અહીં t સમયનો વર્ષમાં દર્શાવેલ સંકેત છે. ચલો Yt અને Itને સાંકળના સંબંધો અનુક્રમે છે.
……………………………………………………………………………………………………………(1)
અને
…………………………………………………………………………………………..(2)
અહીં પ્રાચલો a અને b અનુક્રમે (મૂડી)રોકાણ-દર (rate of investment) અને રોકાણના આવક-ગુણાંક (income coefficient of investment) દર્શાવે છે. (1) અને (2) સમય tમાં વ્યક્ત થતાં અંતર સમીકરણો(difference equations)નો ઉકેલ કરતાં આપણને રાષ્ટ્રીય આવક Ytનો વૃદ્ધિવક્ર
……………………………………………………………………………………………(3)
મળશે. અહીં Yo (યોજનાના) પ્રારંભિક વર્ષની રાષ્ટ્રીય આવક દર્શાવે છે. માથાદીઠ રાષ્ટ્રીય આવક Yt(Yt/Nt)ના વૃદ્ધિવક્રનું સમીકરણ
………………………………………………………………………………………(4)
થશે. અહીં Nt t-મા વર્ષની કુલ વસ્તી, Yo પ્રારંભિક વર્ષની માથાદીઠ રાષ્ટ્રીય આવક અને ρ વસ્તીવધારાનો અચલ વૃદ્ધિદર દર્શાવે છે.
મહાલેનોબીસે પ્રાચલો α અને βનું આગણન કરવા માટે આવક અને મૂડીરોકાણની સમયશ્રેણીના સ્વરૂપની માહિતીનો ઉપયોગ કર્યો હતો.
2.2 દ્વિ-ક્ષેત્રીય મૉડેલ (Two-sector Model) :
દ્વિ-ક્ષેત્રીય મૉડેલમાં દેશના અર્થતંત્રની કુલ ચોખ્ખી આવકની મૂડી-રોકાણલક્ષી સાધનો અને વપરાશલક્ષી સાધનો–એવાં બે ક્ષેત્રો(sectors)માં વહેંચણી થાય છે એમ ધારવામાં આવે છે. tમા વર્ષના વપરાશ ચલને Ct વડે દર્શાવવામાં આવે છે. ચોખ્ખી રાષ્ટ્રીય આવકનું મૂડી-રોકાણ અને વપરાશ – એમ બે ક્ષેત્રોમાં ચોખ્ખી રાષ્ટ્રીય આવકનું વિભાજન કર્યું હોવાથી સમીકરણ મળશે.
Yt = Ct + It …………………………………………………………………………………………………….(5)
tમા વર્ષના ચોખ્ખા રોકાણ Itનું બે હિસ્સા λiIt અને λcItમાં વિભાજન કરવામાં આવે છે. અહીં λi + λc = 1. પ્રમાણ λi અને λcને નીચે પ્રમાણે વ્યાખ્યાયિત કરવામાં આવે છે :
λi = (મૂડી)રોકાણક્ષેત્ર(Capital Sector)માં થયેલા tમા વર્ષના ચોખ્ખા રોકાણનું પ્રમાણ.
λc = વપરાશક્ષેત્ર(Consumer Sector)માં થયેલા tમા વર્ષના ચોખ્ખા રોકાણનું પ્રમાણ.
હવે ચલો Ct અને Itને સાંકળતાં અંતર-સમીકરણો નીચે મુજબ વ્યાખ્યાયિત કરવામાં આવે છે :
Ct + 1 – Ct = λcβcIt ………………………………………………………………………………………..(6)
It + 1 – It = λiβiIt …………………………………………………………………………………………..(7)
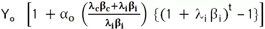
અહીં βc અને βi અનુક્રમે ક્ષેત્રીય રોકાણ-ઉત્પાદન અથવા રોકાણ-આવકના સીમાન્ત ગુણોત્તરો પ્રતીપ (reciprocals) દર્શાવે છે. અંતર સમીકરણો (6) અને (7)ના ઉકેલ પરથી Ytનો વૃદ્ધિવક્ર
…………………………..(8)
મળશે અહીં
અને Io તથા Yo અનુક્રમે પ્રારંભિક મૂડીરોકાણ અને આવક દર્શાવે છે. આ મૉડેલ (8) મહાલેનોબીસે 1953માં મેળવ્યું હતું. પ્રાપ્ય માહિતીના આધારે એમ કહી શકાય કે
βi < βc
અલ્પકાલીન સમય t માટે λiની નાની કિંમત માટે રાષ્ટ્રીય આવકના ઊંચા વૃદ્ધિ–દરના લક્ષ્યાંકને સિદ્ધ કરી શકાય અને દીર્ઘકાલીન સમય માટે λiની મોટી કિંમત માટે રાષ્ટ્રીય આવકના ઊંચા વૃદ્ધિ–દરના લક્ષ્યાંકને સિદ્ધ કરી શકાય તેમ બતાવી શકાય. આ દલીલના આધારે બીજી પંચવર્ષીય યોજના(1956–61)માં મૂડી-રોકાણના ક્ષેત્રમાં વધુ મૂડીરોકાણની ફાળવણી કરવાનો નિર્ણય કરવામાં આવ્યો હતો. બીજી પંચવર્ષીય યોજના પહેલાં λiની કિંમત 0.1 (10 ટકા) જેટલી હતી અને બીજી પંચવર્ષીય યોજનાને અંતે λiની કિંમત 0.33 (33 ટકા) જેટલી કરવાનો નિર્ણય કરવામાં આવ્યો હતો.
સમીકરણ (8) પરથી સમય tની ઘણી મોટી કિંમત માટે બતાવી શકાય કે રોકાણ-આવકના ગુણોત્તર
અનંતલક્ષી (asymptotic) કિંમત
………………………………………………………………(9)
થાય. અહીં It/Ytની અનંતલક્ષી કિંમત રાષ્ટ્રીય આવકનો મૂડીરોકાણ-દર αtની લક્ષ્ય-કિંમત (limiting value) દર્શાવે છે. αની પ્રારંભિક કિંમત =
(6 ટકા) માટે જો βi = 0.25 અને βc = 0.50 હોય તો λi ની વિવિધ કિંમતો માટે
ની કિંમતો નીચેના કોષ્ટકમાં દર્શાવી છે :

આમ λiની કિંમતમાં ક્રમશ: વધારો કરતાં મૂડીરોકાણના અનંતલક્ષી દર(α)માં વૃદ્ધિ કરી શકાય.
2.3 ચતુ-ક્ષેત્રીય મૉડેલ (four sector model) :
મહાલેનોબીસે આ મૉડેલ 1955માં પ્રસ્તુત કર્યું હતું. આ મૉડેલને આર્થિક વૃદ્ધિ મૉડેલ કરતાં ફાળવણીનું મૉડેલ કહેવું વધારે ઉચિત છે, કારણ કે આ મૉડેલ દ્વારા બીજી પંચવર્ષીય યોજનાની પરિસીમા અને કદ નક્કી થાય છે. બીજી પંચવર્ષીય યોજનાના સમયગાળા દરમિયાન પ્રાપ્ય ચોખ્ખા મૂડીરોકાણની કિંમત આપેલી હોય તો આ મૂડી-રોકાણની ઇષ્ટતમ ફાળવણી વિવિધ ઉદ્યોગોના ક્ષેત્રમાં કેવી રીતે કરવી કે જેથી મહત્તમ રોજગારીનું સર્જન થઈ શકે. બીજી પંચવર્ષીય યોજનામાં જો રૂ. 5,500 કરોડ જેટલું ચોખ્ખું મૂડીરોકાણ પ્રાપ્ત થઈ શકે તો તેની ઇષ્ટતમ ફાળવણી કરી 100 લાખથી 120 લાખ જેટલી નવી રોજગારીની જગાઓ ઊભી કરી શકાય. આ બે ધારણાઓને લક્ષમાં રાખી મહાલેનોબીસે રાષ્ટ્રીય આવકમાં યોજના દરમિયાન પ્રતિવર્ષ 5 ટકાનો વધારો થશે તેવી ત્રીજી ધારણા કરી. વધુમાં દ્વિ-ક્ષેત્રી મૉડેલના આધારે કુલ ચોખ્ખા રોકાણના ત્રીજા ભાગના મૂડી-રોકાણનું લક્ષ્ય સિદ્ધ થઈ શકે તેવી ચોથી ધારણા લેવામાં આવી.
મહાલેનોબીસે સૂચવેલ વિભાજિત ક્ષેત્રો અને તેના ચલો તથા પ્રાચલો વિશેની સમજ પાછળના કોષ્ટકમાં દર્શાવી છે :
| ક્ષેત્ર | સંકેત | નવી રોજગારીની સંખ્યા | પ્રત્યેક રોજગારી દીઠ મૂડીરોકાણ | કુલ મૂડી | મૂડીનો આવક-ગુણાંક | આવકનું સર્જન | |
| (1) | (2) | (3) | (4) | (5) = (3) × (4) | (6) | 7 = (5) × (6) | |
| 1. | મૂડીસર્જન કરતા ઉદ્યોગ | i | ni | θi | niθi | βi | niθiβi |
| 2. | વપરાશી સાધનોનું સર્જન કરતા ઉદ્યોગ | ||||||
| 2.1 | કારખાનાં | 1 | n1 | θ1 | n1θ1 | β1 | n1θ1β1 |
| 2.2 | કૃષિ સહિતના હસ્ત-ઉદ્યોગો | 2 | n2 | θ2 | n2θ2 | β2 | n2θ2β2 |
| 3. | બધી સેવાનું સર્જન કરતા ઉદ્યોગો | 3 | n3 | θ3 | n3θ3 | β3 | n3θ3β3 |
ધારો કે N નવી રોજગારીની કુલ સંખ્યા, A કુલ ચોખ્ખા મૂડી-સર્જનની કિંમત અને E યોજનાનાં પાંચ વર્ષની કુલ ચોખ્ખી આવક દર્શાવે છે; તો ઉપરના કોષ્ટક પરથી નીચેનાં સમીકરણો મળશે :
N = ni + n1 +n2 + n3 ……………………………………………………………………………………(10)
A = niqi + n1q1 + n2q2 + n3q3 …………………………………………………………………………(11)
E = niqibi + n1q1b1 + n2q2b2 + n3q3b3 ……………………………………………………………….(12)
અહીં N, A અને E જ્ઞાત છે એમ ધારવામાં આવે છે. એ રીતે કરેલી ધારણાઓ હેઠળ (10), (11) અને (12) દ્વારા મળતી સમીકરણ-સંહતિનો ઉકેલ પ્રાચલો βo, β1, β2, β3 અને θi, θ1, θ2, θ3ના વાસ્તવિક આગણકોના આધારે મેળવી શકાય છે. આ ઉકેલો નીચેના કોષ્ટકમાં દર્શાવ્યા છે :
| ક્ષેત્ર | પ્રાચલોના β | આગણકો θ (રૂ.માં) | ઉકેલ | ||
| રોજગારી AN 106 | રોકાણ 106 રૂ. માં | રાષ્ટ્રીય આવક E 106રૂ. માં | |||
| (1) | (2) | (3) | (4) | (5) | (6) |
| i | 0.20 | 20,000 | 0.9 | 18.5 | 3.7 |
| 1 | 0.35 | 8,750 | 1.1 | 9.8 | 3.4 |
| 2 | 1.25 | 2,500 | 4.7 | 11.8 | 14.7 |
| 3 | 0.45 | 2,750 | 4.3 | 16.0 | 7.2 |
| કુલ | – | – | 11.0 | 56.1 | 29.0 |
વિદેશી હૂંડિયામણની સમસ્યા, ફુગાવાજન્ય પરિસ્થિતિના સર્જન અને 948 કરોડની નાણાકીય ખાધના કારણે બીજી પંચવર્ષીય યોજના નિર્દિષ્ટ લક્ષ્યાંકો સિદ્ધ કરવામાં સમગ્રતયા સફળ ન થઈ. પરિણામે 1958માં આ યોજના પર સરકારે કાપ મૂકવો પડ્યો. અલબત્ત રૂ. 1,090 કરોડની વિદેશી સહાયના કારણે યોજના માટેના નાણાભંડોળની પરિસ્થિતિ કંઈક અંશે હળવી બની. યોજનાને અંતે રોજગારીની 80 લાખ નવી જગાઓ ઊભી થઈ શકી અને રાષ્ટ્રીય આવકમાં 20 ટકાનો વધારો હાંસલ થઈ શક્યો.
4. બીજી પંચવર્ષીય યોજનાનો મુસદ્દો સરકારે નિયુક્ત કરેલ દેશના ટોચના અર્થશાસ્ત્રીઓની પૅનલ સમક્ષ જ્યારે પ્રસ્તુત કરવામાં આવ્યો ત્યારે પૅનલના એક સભ્ય અને જાણીતા અર્થશાસ્ત્રી પ્રા. બી. આર. શેનૉયે યોજનાના કદ, સાધનોના સર્જન માટે ખાધપૂરક નાણાતંત્ર પરની વધારે-પડતી નિર્ભરતા અને યોજનાના નીતિવિષયક અને સંસ્થાકીય ફલિતાર્થો (institutional implications) જેવી બાબતો પર પોતાના વિરોધનો સૂર નોંધાવ્યો. પ્રા. શેનૉયના મતાનુસાર દેશના અર્થકારણમાં સંસ્થાકીય અંકુશો દ્વારા સરકારના હસ્તક્ષેપને નિવારવો જોઈએ.
અમૃતભાઈ વલ્લભભાઈ ગજ્જર
